
树形结构篇
前面我们学习了线性相关的数据结构,了解了顺序表和链表两种类型,我们接着来看树形结构。这一章会更加考验各位小伙伴的数学功底以及逻辑思维,难度会更大一些。
树与森林
树是一种全新的数据结构,它就像一棵树的树枝一样,不断延伸。

树结构介绍
一棵树就像下面这样连接:

可以看到,现在一个结点下面可能会连接多个节点,并不断延伸,就像树枝一样,每个结点都有可能是一个分支点,延伸出多个分支,从位于最上方的结点开始不断向下,而这种数据结构,我们就称为树(Tree)注意分支只能向后单独延伸,之后就分道扬镳了,不能与其他分支上的结点相交!
- 我们一般称位于最上方的结点为树的根结点(Root)因为整棵树正是从这里开始延伸出去的。
- 每个结点连接的子结点数目(分支的数目),我们称为结点的度(Degree),而各个结点度的最大值称为树的度。
- 每个结点延伸下去的下一个结点都可以称为一棵子树(SubTree)比如结点
B及其之后延伸的所有分支合在一起,就是一棵A的子树。 - 每个结点的层次(Level)按照从上往下的顺序,树的根结点为
1,每向下一层+1,比如G的层次就是3,整棵树中所有结点的最大层次,就是这颗树的深度(Depth),比如上面这棵树的深度为4,因为最大层次就是4。
由于整棵树错综复杂,所以说我们需要先规定一下结点之间的称呼,就像族谱那样:
- 与当前结点直接向下相连的结点,我们称为子结点(Child),比如
B、C、D结点,都是A的子结点,就像族谱中的父子关系一样,下一代一定是子女,相反的,那么A就是B、C、D的父结点(Parent),也可以叫双亲结点。 - 如果某个节点没有任何的子结点(结点度为0时)那么我们称这个结点为叶子结点(因为已经到头了,后面没有分支了,这时就该树枝上长叶子了那样)比如
K、L、F、G、M、I、J结点,都是叶子结点。 - 如果两个结点的父结点是同一个,那么称这两个节点为兄弟结点(Sibling)比如
B和C就是兄弟结点,因为都是A的孩子。 - 从根结点开始一直到某个结点的整条路径的所有结点,都是这个结点的祖先结点(Ancestor)比如
L的祖先结点就是A、B、E
那么在了解了树的相关称呼之后,相信各位就应该对树有了一定的了解,虽然概念比较多,但是还请各位一定记住,不然后面就容易听懵。
森林
森林其实很好理解,一片森林肯定是是由很多棵树构成的,比如下面的三棵树:

它们共同组成了一片森林,因此,m(m≥0)棵树的集合我们称为森林(Forest)
二叉树
前面我们给大家介绍了树的概念,而我们本章需要着重讨论的是二叉树(Binary Tree)它是一种特殊的树,它的度最大只能为2,所以我们称其为二叉树,一棵二叉树大概长这样:

并且二叉树任何结点的子树是有左右之分的,不能颠倒顺序,比如A结点左边的子树,称为左子树,右边的子树称为右子树。
二叉树有5种基本形态,分别是:

当然,对于某些二叉树我们有特别的称呼,比如,在一棵二叉树中,所有分支结点都存在左子树和右子树,且叶子结点都在同一层:

这样的二叉树我们称为满二叉树,可以看到整棵树都是很饱满的,没有出现任何度为1的结点,当然,还有一种特殊情况:

可以看到只有最后一层有空缺,并且所有的叶子结点是按照从左往右的顺序排列的,这样的二叉树我们一般称其为完全二叉树,所以,一棵满二叉树,一定是一棵完全二叉树。
树和森林的转换
二叉树和树、森林之间是可以相互转换的。
我们可以使用下面的规律将一棵普通的树转换为一棵二叉树:
- 最左边孩子结点 -> 左子树结点(左孩子)
- 兄弟结点 -> 右子树结点(右孩子)
我们以下面的这棵树为例:

我们优先从左边开始看,B、F、G都是A的子结点,根据上面的规律,我们将B作为左子树:

接着继续从左往右看,由于F是B的兄弟结点,那么根据规律,F作为B的右子树:

接着是G,G是F的兄弟结点,那么G继续作为F的右子树:

我们接着来看第三排,依然是从左往右,C是B的子节点,所以C作为B的左子树:

接着,D是C的兄弟节点,那么D就作为C的右子树了:

此时还有一个H结点,它是G的子结点,所以直接作为G的左子树:

现在只剩下最后一排了,E是D的子结点,K是H的子结点,所以最后就像这样了:

按照规律,我们就将一棵树转换为了二叉树。当然还有一种更简单的方法,我们可以直接将所有的兄弟结点连起来(橙色横线):

接着擦掉所有结点除了最左边结点以外的连线:

所有的黑色连线偏向左边,橙色连线偏向右边:

效果是一样的,这两种方式都可以,你觉得哪一种简单就使用哪一种就行了。我们会发现,无论一棵树长成啥样,转换为二叉树后,根节点一定没有右子树。
思考: 那二叉树咋变回普通的树呢?实际上我们只需要反推回去就行了。
那么森林呢,森林如何转换为一棵二叉树呢?其实很简单:

首先我们还是按照二叉树转换为树的规则,将森林中所有树转换为二叉树,接着我们只需要依次连接即可:

注意连接每一棵树的时候,一律从根结点的右边开始,不断向右连接。
我们发现,相比树转换为二叉树,森林转换为二叉树之后,根节点就存在右子树了,右子树连接的都是森林中其他的树。
思考: 现在有一棵二叉树,我们想要转回去,我们怎么知道到底是将其转换为森林还是转换为树呢?
二叉树的性质
由于二叉树结构特殊,我们可以总结出以下的五个性质:
-
性质一: 对于一棵二叉树,第
i层的最大结点数量为 2^{i-1} 个,比如二叉树的第一层只有一个根结点,也就是 2^0 = 1 ,而二叉树的第三层可以有 2^2 = 4 个结点。 -
性质二: 对于一棵深度为
k的二叉树,可以具有的最大结点数量为:n = 2^0 + 2^1 + 2^2 + ... + 2^{k-1}
我们发现,实际上每一层的结点数量,组成了一个等比数列,公比
q为2,结合等比数列求和公式,我们可以将其简化为:S_n = \frac {a_1 \times (1 - q^n)} {1 - q} = \frac {1 \times (1 - 2^k)} {1 - 2} = - (1 - 2^k) = 2^k - 1
所以一棵深度为
k的二叉树最大结点数量为 n = 2^k - 1,顺便得出,结点的边数为 E = n - 1。 -
性质三: 假设一棵二叉树中度为0、1、2的结点数量分别为n_0、n_1、n_2,由于一棵二叉树中只有这三种类型的结点,那么可以直接得到结点总数:
n = n_0 + n_1 + n_2
我们不妨换一个思路,我们从二叉树的边数上考虑,因为每个结点有且仅有一条边与其父结点相连,那么边数之和就可以表示为:
E = n_1 + 2n_2
度为1的结点有一条边,度为2的结点有两条边,度为0的结点没有,加在一起就是整棵二叉树的边数之和,结合我们在性质二中推导的结果,可以得到另一种计算结点总数的方式:
E = n - 1 = n_1 + 2n_2
n = n_1 + 2n_2 + 1
再结合我们第一个公式:
n = n_0 + n_1 + n_2 = n_1 + 2n_2 + 1
综上,对于任何一棵二叉树,如果其叶子结点个数为 n_0 ,度为2的结点个数为 n_2 ,那么两者满足以下公式:
n_0 = n_2 + 1
(性质三的推导过程比较复杂,如果觉得麻烦推荐直接记忆)
-
性质四: 完全二叉树除了最后一层有空缺外,其他层数都是饱满的,假设这棵二叉树为满二叉树,那么根据我们前面得到的性质,假设层数为
k,那么结点数量为:n = 2^k - 1 ,根据完全二叉树的性质,最后一层可以满可以不满,那么一棵完全二叉树结点数n满足:2^{k-1} - 1 < n <= 2^k - 1
因为
n肯定是一个整数,那么可以写为:2^{k - 1} <= n <= 2^k - 1
现在我们只看左边的不等式,我们对不等式两边同时取对数,得到:
k - 1 <= log_2n
综上所述,一棵具有
n个结点的完全二叉树深度为 k = \lfloor log_2n \rfloor + 1 。(性质四的推导过程比较复杂,如果觉得麻烦推荐直接记忆)
-
性质五: 一颗有
n个结点的完全二叉树,由性质四得到深度为 k = \lfloor log_2n \rfloor + 1 现在对于任意一个结点i,结点的顺序为从上往下,从左往右:- 对于一个拥有左右孩子的结点来说,其左孩子为
2i,右孩子为2i + 1。 - 如果
i = 1,那么此结点为二叉树的根结点,如果i > 1,那么其父结点就是 \lfloor i/2 \rfloor,比如第3个结点的父结点为第1个节点,也就是根结点。 - 如果
2i > n,则结点i没有左孩子,比如下面图中的二叉树,n为5,假设此时i = 3,那么2i = 6 > n = 5说明第三个结点没有左子树。 - 如果
2i + 1 > n,则结点i没有右孩子。
- 对于一个拥有左右孩子的结点来说,其左孩子为

以上五条二叉树的性质一般是笔试重点内容,还请务必牢记,如果觉得推导过程比较麻烦,推荐直接记忆结论。
二叉树练习题:
-
由三个结点可以构造出多少种不同的二叉树?
这个问题我们可以直接手画得到结果,一共是五种,当然,如果要求N个结点的话,可以利用动态规划求解,如果这道题是求N个结点可以构造多少二叉树,我们可以分析一下:
- 假设现在只有一个结点或者没有结点,那么只有一种,h(0) = h(1) = 1
- 假设现在有两个结点,那么其中一个拿来做根结点,剩下这一个可以左边可以右边,要么左边零个结点右边一个结点,要么左边一个结点右边零个结点,所以说 h(2) = h(1) × h(0) + h(0) × h(1) = 2
- 假设现在有三个结点,那么依然是其中一个拿来做根节点,剩下的两个结点情况就多了,要么两个都在左边,两个都在右边,或者一边一个,所以说 h(3) = h(2) × h(0) + h(1) × h(1) + h(0) × h(2)
我们发现,它是非常有规律的,N每+1,项数多一项,所以我们只需要按照规律把所有情况的结果相加就行了,我们按照上面推导的结果,编写代码:
cint main(){ int size; scanf("%d", &size); //读取需要求的N int dp[size + 1]; dp[0] = dp[1] = 1; //没有结点或是只有一个结点直接得到1 for (int i = 2; i <= size; ++i) { dp[i] = 0; //一开始先等于0再说 for (int j = 0; j < i; ++j) { //内层循环是为了计算所有情况,比如i等于3,那么就从j = 0开始,计算dp[0]和dp[2]的结果,再计算dp[1]和dp[1]... dp[i] += dp[j] * dp[i - j - 1]; } } printf("%d", dp[size]); //最后计算的结果就是N个结点构造的二叉树数量了 }
成功得到结果,当然,实际上我们根据这个规律,还可以将其进一步简化,求出的结果序列为:1, 1, 2, 5, 14, 42, 132...,这种类型的数列我们称为卡特兰数,以中国蒙古族数学家明安图 (1692-1763)和比利时的数学家欧仁·查理·卡塔兰 (1814–1894)的名字来命名,它的通项公式为:
C_n = \frac {1} {n + 1}C^n_{2n} = \frac {1} {n + 1} \times \frac {(2n)!} {n!\times(2n - n)!} = \frac {(2n)!} {n!\times (n + 1)!}
所以说不需要动态规划了,直接一个算式解决问题:
cint factorial(int n){ int res = 1; for (int i = 2; i <= n; ++i) res *= i; return res; } int main(){ int n; scanf("%d", &n); printf("%d", factorial(2*n) / (factorial(n) * factorial(n + 1))); }只不过这里用的是int,运算过程中如果数字太大的话就没办法了
-
一棵完全二叉树有1001个结点,其中叶子结点的个数为?
既然是完全二叉树,那么最下面这一排肯定是按顺序排的,并且上面各层应该是排满了的,那么我们先求出层数,根据性质四:
k = \lfloor log_2n \rfloor + 1 = 9 + 1 = 10
所以此二叉树的层数为10,也就是说上面9层都是满满当当的,最后一层不满,那么根据性质二,我们求出前9层的结点数:
n = 2^k - 1 = 511
那么剩下的结点就都是第十层的了,得到第十层所有叶子结点数量 = 1001 - 511 = 490,因为第十层并不满,剩下的叶子第九层也有,所以最后我们还需要求出第九层的叶子结点数量,先计算第九层的所有结点数量:
n = 2^{i - 1}=256
接着我们需要去掉那些第九层度为一和度为二的结点,其实只需要让第十层都叶子结点除以2就行了:
n = (490 + 1) / 2 = 245
注意在除的时候+1,因为有可能会出现一个度为1的结点,此时也需要剔除,所以说+1变成偶数这样才可以正确得到结果。最后剔除这些结点,得到最终结果:
n_0 = 256 - 245 + 490 = 501
所以这道题的答案为501。
-
深度为h的满m叉树的第k层有多少个结点?
这道题只是看着复杂,但是实际上我们把之前推导都公式带进来就行了。但是注意,难点在于,这道题给的是满m叉树,而不是满二叉树,满二叉树根据性质一我们已经知道:
n = 2^{i-1}
那m叉树呢?实际上也是同理的,我们以三叉树为例,每向下一层,就划分三个孩子结点出来:

每一层的最大结点数依次为:1、3、9、27....
我们发现,实际上每一层的最大结点数,正好是3的次方,所以说无论多少叉树,实际上变化的就是底数而已,所以说深度为h(h在这里没卵用,障眼法罢了)的满m叉树第k层的结点数:
n = m^{k-1}
-
一棵有1025个结点的二叉树的层数k的取值范围是?
这个问题比较简单,层数的最小值实际上就是为完全二叉树的情况,层数的最大值实际上就是连成一根线的情况,结点数就是层数,所以说根据性质四得到最小深度为11,最大深度就直接1025了,k的范围是11 - 1025
-
将一棵树转换为二叉树时,根节点的右边连接的是?
根据我们前面总结得到的性质,树转换为二叉树之后,根节点一定没有右子树,所以为空
二叉树的构建
前面我们介绍了二叉树的几个重要性质,那么现在我们就来尝试在程序中表示和使用一棵二叉树。
二叉树的存储形式也可以使用我们前面的两种方式,一种是使用数组进行存放,还有一种就是使用链式结构,只不过之前链式结构需要强化一下才可以表示为二叉树。
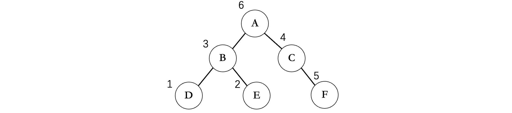
首先我们来看数组形式的表示方式,利用前面所推导的性质五,我们可以按照以下顺序进行存放:

这颗二叉树的顺序存储:

从左往右,编号i从1开始,比如现在我们需要获取A的右孩子,那么就需要根据性质五进行计算,因为右孩子为2i + 1,所以A的右边孩子的编号就是3,也就是结点C。
这种表示形式使用起来并不方便,而且存在大量的计算,所以说我们只做了解即可,我们的重点是下面的链式存储方式。
我们在前面使用链表的时候,每个结点不仅存放对应的数据,而且会存放一个指向下一个结点的指针:

而二叉树也可以使用这样的链式存储形式,只不过现在一个结点需要存放一个指向左子树的指针和一个指向右子树的指针了:

通过这种方式,我们就可以通过连接不同的结点形成一颗二叉树了,这样也更便于我们去理解它,我们首先定义一个结构体:
typedef char E;
struct TreeNode {
E element; //存放元素
struct TreeNode * left; //指向左子树的指针
struct TreeNode * right; //指向右子树的指针
};
typedef struct TreeNode * Node;
比如我们现在想要构建一颗像这样的二叉树:

首先我们需要创建好这几个结点:
int main(){
Node a = malloc(sizeof(struct TreeNode)); //依次创建好这五个结点
Node b = malloc(sizeof(struct TreeNode));
Node c = malloc(sizeof(struct TreeNode));
Node d = malloc(sizeof(struct TreeNode));
Node e = malloc(sizeof(struct TreeNode));
a->element = 'A';
b->element = 'B';
c->element = 'C';
d->element = 'D';
e->element = 'E';
}
接着我们从最上面开始,挨着进行连接,首先是A这个结点:
int main(){
...
a->left = b; //A的左孩子是B
a->right = c; //A的右孩子是C
}
然后是B这个结点:
int main(){
...
b->left = d; //B的左孩子是D
b->right = e; //B的右孩子是E
//别忘了把其他的结点改为NULL
...
}
这样的话,我们就成功构建好了这棵二叉树:
int main(){
...
printf("%c", a->left->left->element); //比如现在我想要获取A左孩子的左孩子,那么就可以直接left二连
}
断点调试也可以看的很清楚:

二叉树的遍历
前面我们通过使用链式结构,成功构建出了一棵二叉树,接着我们来看看如何遍历一棵二叉树,也就是说我们想要访问二叉树的每一个结点,由于树形结构特殊,遍历顺序并不唯一,所以一共有四种访问方式:**前序遍历、中序遍历、后序遍历、层序遍历。**不同的访问方式输出都结点顺序也不同。
首先我们来看最简单的前序遍历:

前序遍历是一种勇往直前的态度,走到哪就遍历到那里,先走左边再走右边,比如上面的这个图,首先会从根节点开始:

从A开始,先左后右,那么下一个就是B,然后继续走左边,是D,现在ABD走完之后,B的左边结束了,那么就要开始B的右边了,所以下一个是E,E结束之后,现在A的左子树已经全部遍历完成了,然后就是右边,接着就是C,C没有左子树了,那么只能走右边了,最后输出F,所以上面这个二叉树的前序遍历结果为:ABDECF
- 打印根节点
- 前序遍历左子树
- 前序遍历右子树
我们不难发现规律,整棵二叉树(包括子树)的根节点一定是出现在最前面的,比如A在最前面,A的左子树根结点B也是在最前面的。
接着我们来通过代码实现一下,首先先把咱们这棵二叉树组装好:
int main(){
Node a = malloc(sizeof(struct TreeNode));
Node b = malloc(sizeof(struct TreeNode));
Node c = malloc(sizeof(struct TreeNode));
Node d = malloc(sizeof(struct TreeNode));
Node e = malloc(sizeof(struct TreeNode));
Node f = malloc(sizeof(struct TreeNode));
a->element = 'A';
b->element = 'B';
c->element = 'C';
d->element = 'D';
e->element = 'E';
f->element = 'F';
a->left = b;
a->right = c;
b->left = d;
b->right = e;
c->right = f;
c->left = NULL;
d->left = e->right = NULL;
e->left = e->right = NULL;
f->left = f->right = NULL;
}
组装好之后,我们来实现一下前序遍历的函数:
void preOrder(Node root){ //传入的是二叉树的根结点
}
那么现在我们拿到根结点之后该怎么去写呢?既然是走到哪里打印到哪里,那么我们就先打印一下当前结点的值:
void preOrder(Node root){
printf("%c", root->element); //不多bb先打印再说
}
打印完成之后,我们就按照先左后右的规则往后遍历下一个结点,这里我们就直接使用递归来完成:
void preOrder(Node root){
printf("%c", root->element);
preOrder(root->left); //将左孩子结点递归交给下一级
preOrder(root->right); //等上面的一系列向左递归结束后,再以同样的方式去到右边
}
不过还没,我们的递归肯定是需要一个终止条件的,不可能无限地进行下去,如果已经走到底了,那么就不能再往下走了,所以:
void preOrder(Node root){
if(root == NULL) return; //如果走到NULL了,那就表示已经到头了,直接返回
printf("%c", root->element);
preOrder(root->left);
preOrder(root->right);
}
最后我们来测试一下吧:
int main(){
...
preOrder(a);
}
可以看到结果为:

这样我们就通过一个简单的递归操作完成了对一棵二叉树的前序遍历,如果不太好理解,建议结合调试进行观察。
当然也有非递归的写法,我们使用循环,但是就比较麻烦了,我们需要使用栈来帮助我们完成(实际上递归写法本质上也是在利用栈),我们依然是从第一个结点开始,先走左边,每向下走一步,先输出节点的值,然后将对应的结点丢到栈中,当走到尽头时,表示左子树已经遍历完成,接着就是从栈中依次取出栈顶节点,如果栈顶结点有右子树,那么再按照同样的方式遍历其右子树,重复执行上述操作,直到栈清空为止。
- 一路向左,不断入栈,直到尽头
- 到达尽头后,出栈,看看有没有右子树,如果没有就继续出栈,直到遇到有右子树的为止
- 拿到右子树后,从右子树开始,重复上述步骤,直到栈清空
比如我们还是以上面的这棵树为例:

首先我们依然从根结点A出发,不断遍历左子树,沿途打印结果并将节点丢进栈中:

当遍历到D结点时,没有左子树了,此时将栈顶结点D出栈,发现没有右节点,继续出栈,得到B结点,接着得到当前结点的右孩子E结点,然后重复上述步骤:

接着发现E也没有左子树了,同样的,又开始出栈,此时E没有右子树,接着看A,A有右子树,所以继续从C开始,重复上述步骤:

由于C之后没有左子树,那么就出栈获取右子树,此时得到结点F,继续重复上述步骤:

最后F出栈,没有右子树了,栈空,结束。
按照这个思路,我们来编写一下程序吧:
typedef char E;
struct TreeNode {
E element;
struct TreeNode * left;
struct TreeNode * right;
};
typedef struct TreeNode * Node;
//------------- 栈 -------------------
typedef Node T; //这里栈内元素类型定义为上面的Node,也就是二叉树结点指针
struct StackNode {
T element;
struct StackNode * next;
};
typedef struct StackNode * SNode; //这里就命名为SNode,不然跟上面冲突了就不好了
void initStack(SNode head){
head->next = NULL;
}
_Bool pushStack(SNode head, T element){
SNode node = malloc(sizeof(struct StackNode));
if(node == NULL) return 0;
node->next = head->next;
node->element = element;
head->next = node;
return 1;
}
_Bool isEmpty(SNode head){
return head->next == NULL;
}
T popStack(SNode head){
SNode top = head->next;
head->next = head->next->next;
T e = top->element;
free(top);
return e;
}
//-------------------------------------
void preOrder(Node root){
struct StackNode stack; //栈先搞出来
initStack(&stack);
while (root || !isEmpty(&stack)){ //两个条件,只有当栈空并且节点为NULL时才终止循环
while (root) { //按照我们的思路,先不断遍历左子树,直到没有为止
pushStack(&stack, root); //途中每经过一个结点,就将结点丢进栈中
printf("%c", root->element); //然后打印当前结点元素值
root = root->left; //继续遍历下一个左孩子结点
}
root = popStack(&stack); //经过前面的循环,明确左子树全部走完了,接着就是右子树了
root = root->right; //得到右孩子,如果有右孩子,下一轮会重复上面的步骤;如果没有右孩子那么这里的root就被赋值为NULL了,下一轮开始会直接跳过上面的while,继续出栈下一个结点再找右子树
}
}
这样,我们就通过非递归的方式实现了前序遍历,可以看到代码是相当复杂的,也不推荐这样编写。
那么前序遍历我们了解完了,接着就是中序遍历了,中序遍历在顺序上与前序遍历不同,前序遍历是走到哪就打印到哪,而中序遍历需要先完成整个左子树的遍历后再打印,然后再遍历其右子树。
我们还是以上面的二叉树为例:

首先需要先不断遍历左子树,走到最底部,但是沿途并不进行打印,而是到底之后,再打印,所以第一个打印的是D,接着由于没有右子树,所以我们回到B,此时再打印B,然后再去看B的右结点E,由于没有左子树和右子树了,所以直接打印E,左边遍历完成,接着回到A,打印A,然后对A的右子树重复上述操作。所以说遍历的基本规则还是一样的,只是打印值的时机发生了改变。
- 中序遍历左子树
- 打印结点
- 中序遍历右子树
所以这棵二叉树的中序遍历结果为:DBEACF,我们可以发现一个规律,就是在某个结点的左子树中所有结点,其中序遍历结果也是按照这样的规律排列的,比如A的左子树中所有结点,中序遍历结果中全部都在A的左边,右子树中所有的结点,全部都在A的右边(这个规律很关键,后面在做一些算法题时会用到)
那么怎么才能将打印调整到左子树全部遍历结束之后呢?其实很简单:
void inOrder(Node root){
if(root == NULL) return;
inOrder(root->left); //先完成全部左子树的遍历
printf("%c", root->element); //等待左子树遍历完成之后再打印
inOrder(root->right); //然后就是对右子树进行遍历
}
我们只需要将打印放到左子树遍历之后即可,这样打印出来的结果就是中序遍历的结果了:

同样的,如果采用的是非递归,那么我也只需要稍微改动一个地方即可:
...
void inOrder(Node root){
struct StackNode stack;
initStack(&stack);
while (root || !isEmpty(&stack)){ //其他都不变
while (root) {
pushStack(&stack, root);
root = root->left;
}
root = popStack(&stack);
printf("%c", root->element); //只需要将打印时机延后到左子树遍历完成
root = root->right;
}
}
这样,我们就实现了二叉树的中序遍历,实际上还是很好理解的。
接着我们来看一下后序遍历,后序遍历继续将打印的时机延后,需要等待左右子树全部遍历完成,才会去进行打印。

首先还是一路向左,到达结点D,此时结点D没有左子树了,接着看结点D还有没有右子树,发现也没有,左右子树全部遍历完成,那么此时再打印D,同样的,D完事之后就回到B了,此时接着看B的右子树,发现有结点E,重复上述操作,E也打印出来了,接着B的左右子树全部OK,那么再打印B,接着A的左子树就完事了,现在回到A,看到A的右子树,继续重复上述步骤,当A的右子树也遍历结束后,最后再打印A结点。
- 后序遍历左子树
- 后序遍历右子树
- 打印结点
所以最后的遍历顺序为:DEBFCA,不难发现,整棵二叉树(包括子树)根结点一定是在后面的,比如A在所有的结点的后面,B在其子节点D、E的后面,这一点恰恰和前序遍历相反(注意不是得到的结果相反,是规律相反)
所以,按照这个思路,我们来编写一下后序遍历:
void postOrder(Node root){
if(root == NULL) return;
postOrder(root->left);
postOrder(root->right);
printf("%c", root->element); //时机延迟到最后
}
结果如下:

不过难点来了,后序遍历使用非递归貌似写不了啊?因为按照我们的之前的思路,最多也就实现中序遍历,我们没办法在一次循环中得知右子树是否完成遍历,难点就在这里。那么我们就要想办法先让右子树完成遍历,由于一个结点需要左子树全部完成+右子树全部完成,而目前只能明确左子树完成了遍历(也就是内层while之后,左子树一定结束了)所以我们可以不急着将结点出栈,而是等待其左右都完事了再出栈,这里我们需要稍微对结点的结构进行修改,添加一个标记变量,来表示已经完成左边还是左右都完成了:
struct TreeNode {
E element;
struct TreeNode * left;
struct TreeNode * right;
int flag; //需要经历左右子树都被遍历才行,这里用flag存一下状态,0表示左子树遍历完成,1表示右子树遍历完成
};
T peekStack(SNode head){ //这里新增一个peek操作,用于获取栈顶元素的值,但是不出栈,仅仅是值获取
return head->next->element;
}
void postOrder(Node root){
struct StackNode stack;
initStack(&stack);
while (root || !isEmpty(&stack)){ //其他都不变
while (root) {
pushStack(&stack, root);
root->flag = 0; //首次入栈时,只能代表左子树遍历完成,所以flag置0
root = root->left;
}
root = peekStack(&stack); //注意这里只是获取到结点,并没有进行出栈操作,因为需要等待右子树遍历完才能出栈
if(root->flag == 0) { //如果仅仅遍历了左子树,那么flag就等于0
root->flag = 1; //此时标记为1表示遍历右子树
root = root->right; //这里跟之前是一样的
} else {
printf("%c", root->element); //当flag为1时走这边,此时左右都遍历完成了,这时再打印值出来
popStack(&stack); //这时再把对应的结点出栈,因为左右都完事了
root = NULL; //置为NULL,下一轮直接跳过while,然后继续取栈中剩余的结点,重复上述操作
}
}
}
所以,后序遍历的非递归写法的最大区别是将结点的出栈时机和打印时机都延后了。
最后我们来看层序遍历,实际上这种遍历方式是我们人脑最容易理解的,它是按照每一层在进行遍历:

层序遍历实际上就是按照从上往下每一层,从左到右的顺序打印每个结点,比如上面的这棵二叉树,那么层序遍历的结果就是:ABCDEF,像这样一层一层的挨个输出。
虽然理解起来比较简单,但是如果让你编程写出来,该咋搞?是不是感觉有点无从下手?
我们可以利用队列来实现层序遍历,首先将根结点存入队列中,接着循环执行以下步骤:
- 进行出队操作,得到一个结点,并打印结点的值。
- 将此结点的左右孩子结点依次入队。
不断重复以上步骤,直到队列为空。
我们来分析一下,首先肯定一开始A在里面:

接着开始不断重复上面的步骤,首先是将队首元素出队,打印A,然后将A的左右孩子依次入队:

现在队列中有B、C两个结点,继续重复上述操作,B先出队,打印B,然后将B的左右孩子依次入队:

现在队列中有C、D、E这三个结点,继续重复,C出队并打印,然后将F入队:

我们发现,这个过程中,打印的顺序正好就是我们层序遍历的顺序,所以说队列还是非常有用的。
那么现在我们就来上代码吧:
typedef char E;
struct TreeNode {
E element;
struct TreeNode * left;
struct TreeNode * right;
int flag;
};
typedef struct TreeNode * Node;
//--------------- 队列 ----------------
typedef Node T; //还是将Node作为元素
struct QueueNode {
T element;
struct QueueNode * next;
};
typedef struct QueueNode * QNode;
struct Queue{
QNode front, rear;
};
typedef struct Queue * LinkedQueue;
_Bool initQueue(LinkedQueue queue){
QNode node = malloc(sizeof(struct QueueNode));
if(node == NULL) return 0;
queue->front = queue->rear = node;
return 1;
}
_Bool offerQueue(LinkedQueue queue, T element){
QNode node = malloc(sizeof(struct QueueNode));
if(node == NULL) return 0;
node->element = element;
queue->rear->next = node;
queue->rear = node;
return 1;
}
_Bool isEmpty(LinkedQueue queue){
return queue->front == queue->rear;
}
T pollQueue(LinkedQueue queue){
T e = queue->front->next->element;
QNode node = queue->front->next;
queue->front->next = queue->front->next->next;
if(queue->rear == node) queue->rear = queue->front;
free(node);
return e;
}
//--------------------------------
void levelOrder(Node root){
struct Queue queue; //先搞一个队列
initQueue(&queue);
offerQueue(&queue, root); //先把根节点入队
while (!isEmpty(&queue)) { //不断重复,直到队列空为止
Node node = pollQueue(&queue); //出队一个元素,打印值
printf("%c", node->element);
if(node->left) //如果存在左右孩子的话
offerQueue(&queue, node->left); //记得将左右孩子入队,注意顺序,先左后右
if(node->right)
offerQueue(&queue, node->right);
}
}
可以看到结果就是层序遍历的结果:

当然,使用递归也可以实现,但是需要单独存放结果然后单独输出,不是很方便,所以说这里就不演示了。
二叉树练习题:
-
现在有一棵二叉树前序遍历结果为:ABCDE,中序遍历结果为:BADCE,那么请问该二叉树的后序遍历结果为?
-
对二叉树的结点从1开始连续进行编号,要求每个结点的编号大于其左右孩子的编号,那么请问需要采用哪种遍历方式来实现?
A. 前序遍历 B. 中序遍历 C. 后序遍历 D. 层序遍历
高级树结构
高级树结构篇是对树结构的延伸扩展,有着特殊的定义和性质,在编写上可能会比较复杂,所以这一部分对于那些太过复杂的结构,就不进行代码编写了,只进行理论讲解。